Δείτε αναλυτικά ποιες είναι οι 13 κατηγορίες συνταξιούχων που θα λάβουν τα περισσότερα σε αυξήσεις και αναδρομικά από το 2020. Πότε κάνουν… ταμείο οι συνταξιούχοι.
Δεκατρείς κατηγορίες συνταξιούχων, που ήταν ήδη δικαιούχοι επικουρικής από το ΕΤΕΑΕΠ πριν από τις 13/5/2016, κερδίζουν τα περισσότερα τόσο σε αυξήσεις μηνιαίων επικουρικών συντάξεων όσο και σε αναδρομικά επικουρικών.
Πρόκειται για περίπου 200.000 συνταξιούχους που είχαν τις μεγαλύτερες περικοπές το καλοκαίρι του 2016 από το «ψαλίδι» του νόμου Κατρούγκαλου και τώρα βρίσκονται στην κορυφή της πυραμίδας για τις επερχόμενες αυξήσεις. Όλοι είχαν άθροισμα κύριας και επικουρικής σύνταξης άνω των 1.300 ευρώ και έχασαν από 23% έως και 48% από την επικουρική τους.
Πρόκειται γι αυτούς που θα ευνοηθούν περισσότερο από τις αυξήσεις που έρχονται στις αρχές του 2020 και μεσοσταθμικά θα κυμανθούν στο 20% – 30% αγγίζοντας συνολικά 465.112 συνταξιούχους κατά τον υπουργό Εργασίας, Γιάννη Βρούτση.
Στους πλέον ευνοημένους από τις πρόσφατες αποφάσεις του ΣτΕ που «γκρέμισαν» τις περικοπές των επικουρικών είναι :
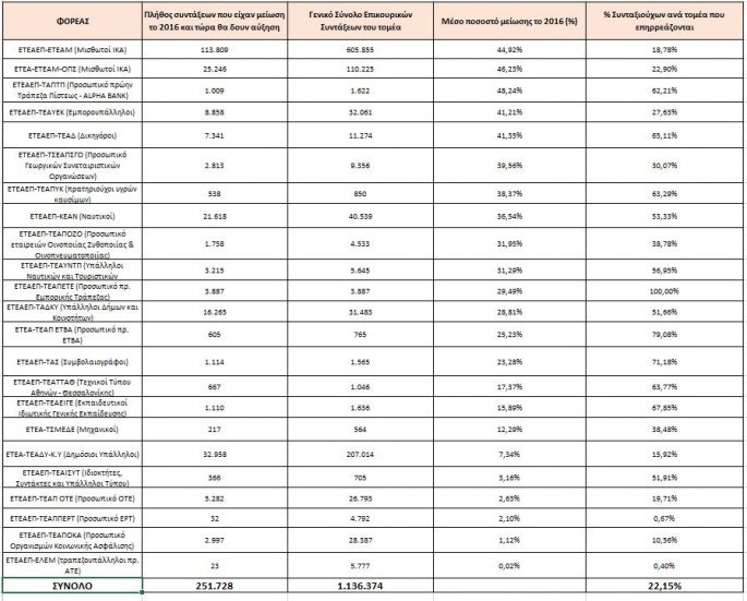
- 139.055 μισθωτοί ΙΚΑ που είχαν μέση περικοπή 45%. Από το πρώην ΙΚΑ προέρχεται η μεγαλύτερη δεξαμενή συνταξιούχων που υπέστησαν το 2016 τις περικοπές και τώρα θα πρέπει να δουν αυξήσεις. Ειδικότερα από τους 251.728 συνταξιούχους που είχαν τις υψηλότερες περικοπές, οι μισοί και πλέον προέρχονται από το πρ. ΙΚΑ. Ειδικότερα για τους μισθωτούς του ΕΤΕΑΜ ορίστηκε Συντελεστής Επανυπολογισμού με τη μέθοδο του μέσου όρου στο 0,4927, «δείχνοντας» μείωση 50,73% στην καταβαλλόμενη σύνταξη. Οι συνταξιούχοι του ΕΤΕΑΜ είχαν έτσι ονομαστική μείωση 50,73% στην παλιά τους σύνταξη, ενώ η πραγματική μείωση εξαρτήθηκε από το ύψος της κύριας σύνταξης που διέσωσε όσους έπεσαν κάτω από τον πήχη των 1.300 ευρώ (μικτά) άθροισμα κύριας και επικουρικής (πήραν «προσωπική διαφορά»).
- 1.009 τραπεζοϋπάλληλοι της πρώην Τράπεζας Πίστεως οι οποίοι είχαν μέση μείωση 48,24% καθώς λόγω υψηλών κύριων συντάξεων δεν προστατεύτηκαν από το όριο των 1.300 ευρώ.
- 8.858 εμποροϋπάλληλοι που είχαν μέση μείωση 41,21% το 2016.
- 7.341 δικηγόροι που έχασαν το 41,35% της επικουρικής τους το 2016.
- 2.813 πρώην εργαζόμενοι σε Γεωργικές Συνεταιριστικές Οργανώσεις – έχασαν το 39,56% της επικουρικής τους το 2016.
- 538 βενζινοπώλες που απώλεσαν το 38,37% της επικουρικής τους.
- 21.618 ναυτικοί που μέτρησαν απώλειες 36,54%.
- 1.758 εργαζόμενοι σε εταιρείες Οινοποιίας Ζυθοποιίας & Οινοπνευματοποιίας που έχασαν το 31,95% της επικουρικής τους το 2016.
- 3.215 πρ. υπάλληλοι Ναυτικών και Τουριστικών Πρακτορείων που έχασαν το 31,29% της επικουρικής τους.
- 3.887 πρ. υπάλληλοι Εμπορικής Τράπεζας που μέτρησαν απώλειες 29,49%.
- 16.265 υπάλληλοι Δήμων οι οποίοι είχαν περικοπές 28,81%.
- 605 πρώην τραπεζοϋπάλληλοι της ΕΤΒΑ με μέση μείωση 25,23% τον Ιούνιο του 2016.
- 1.114 συμβολαιογράφοι που έχασαν το 23,28% της επικουρικής τους.
Εκτός από αυτές τις 13 κατηγορίες υπάρχουν κι άλλοι επικουρικοί συνταξιούχοι που πρέπει να προσδοκούν αυξήσεις – μικρότερες όμως σε ύψος – καθώς έχασαν λιγότερα το 2016. Για παράδειγμα 32.958 δημόσιοι υπάλληλοι έχασαν μεσοσταθμικά 7,34% ενώ 5.282 πρώην υπάλληλοι ΟΤΕ έχασαν 2,63%. Φυσικά υπήρξαν και περιπτώσεις όπως οι τραπεζοϋπάλληλοι της πρ. Αγροτικής Τράπεζας που έχασαν μόνο 0,02% από την σύνταξή τους το 2016 όπως επίσης και άλλοι περίπου 100.000 συνταξιούχοι που υπέστησαν οριακές απώλειες.
Από την άλλη στο ισχύον σύστημα υπάρχουν και 750.000 συνταξιούχοι, οι οποίοι έχουν διατηρήσει προσωπικές διαφορές μετά τον επανυπολογισμό του νόμου Κατρούγκαλου το καλοκαίρι του 2016, επειδή είχαν άθροισμα κάτω των 1.300 ευρώ. Συνολικά οι προσωπικές διαφορές που εισπράττουν ανέρχονται σε 55 εκατ. ευρώ τον μήνα.
Από τους μεγάλους χαμένους του 2016 και κερδισμένους τώρα, οι περισσότεροι (σχεδόν 120.000 άτομα) έχασαν από 100 ως 200 ευρώ από την σύνταξή τους. Στην κατηγορία αυτή ανήκουν κυρίως συνταξιούχοι από το τα τ. Ταμεία : ΤΕΑΥΝΤΠ (ναυτιλιακοί και τουριστικοί πράκτορες), ΤΕΑΥΕΚ (Εμπορουπάλληλοι), ΤΕΑΠΕΤΕ (υπάλληλοι Εμπορικής Τράπεζας), υψηλόμισθοι ΙΚΑ με πολλά χρόνια ασφάλισης (ΕΤΕΑΜ), ΤΑΠΤ (υπάλληλοι Τράπεζας Πίστεως), ΚΕΑΝ (ναυτικοί). Ένας στους πέντε (πάνω από 50.000 συνταξιούχοι) έχασαν 50-100 ευρώ, το 10% έχασε 20 – 50 ευρώ ενώ το 18% έχασε έως 20 ευρώ.

Αυξήσεις και αναδρομικά
Οι αυξήσεις θα ενσωματωθούν στις μηνιαίες πληρωμές των επικουρικών ΕΤΕΑΕΠ μετά την ψήφιση του ασφαλιστικού νομοσχεδίου, δηλαδή πιθανότατα στις αρχές του 2020. Την ίδια περίοδο θα δοθούν στους δικαιούχους των αυξήσεων και αναδρομικά 3 ή 4 μηνών, αρχής γενομένης από 4 Οκτωβρίου 2019 και μετά.
Σύμφωνα με το επικρατέστερο σχέδιο, οι αυξήσεις που θα δοθούν τώρα θα κυμαίνονται μεσοσταθμικά στο 25%-30% και θα αφορούν – κατά τις δηλώσεις του υπουργού Εργασίας Γιάννη Βρούτση – 465.112 συνταξιούχους. Ο ίδιος έχει τοποθετήσει την μέση αύξηση σε 52,5 ευρώ το μήνα. Όπως έχει αποκαλύψει το «Έθνος της Κυριακής», οι επικουρικές θα συνεχίζουν να καταβάλλονται τους αμέσως επόμενους μήνες στο σημερινό τους ύψος και μέχρι να ολοκληρωθεί το ασφαλιστικό νομοσχέδιο το οποίο θα πρέπει να στηρίζεται σε αναλογιστικές μελέτες. Όταν όμως έρθει το νομοσχέδιο στη Βουλή, οι αυξήσεις θα αποδοθούν αναδρομικά σε όλους τους δικαιούχους από 4 Οκτωβρίου 2019, καθώς ισχύουν από τη στιγμή της δημοσίευσης της απόφασης του ΣτΕ που ακυρώνει το προηγούμενο καθεστώς του νόμου Κατρούγκαλου. Το συνολικό κόστος των αυξήσεων κυμαίνεται κοντά στα 300 εκατ. ευρώ.
Ο πήχης των 1.300 ευρώ όπως και η επιλογή της μείωσης των επικουρικών με βάση το ύψος της κύριας σύνταξης κρίθηκε αντισυνταγματική από το ΣτΕ και κατά συνέπεια άκυρη, όχι όμως αναδρομικά από το 2016, αλλά από 4 Οκτωβρίου 2019 και μετά (όταν δηλαδή δημοσιεύτηκαν οι αποφάσεις του ΣτΕ).
Το ανώτατο ακυρωτικό δικαστήριο τίναξε… στον αέρα όλο το σύστημα των επικουρικών που ψηφίστηκε το 2016. Έκρινε αντισυνταγματικό τον υπολογισμό τόσο των νέων επικουρικών συντάξεων με τον νόμο Κατρούγκαλου (με ποσοστό αναπλήρωσης 0,45% κατ έτος) όσο και τον επανυπολογισμό των παλαιών με βάση τον νέο τύπο. Κυρίως όμως ακύρωσε τις περικοπές που εφαρμόστηκαν με βάση το άθροισμα κύριας και επικουρικής σύνταξης.
Για τον τρόπο υπολογισμού των νέων και επανυπολογισμού των παλαιών επικουρικών αιτία της αντισυνταγματικότητας ήταν, κατά τους Συμβούλους Επικρατείας, η έλλειψη αναλογιστικής μελέτης. Αντίθετα, για το «μαχαίρι» που έπεσε σε όσους εισέπρατταν πάνω από 1.300 ευρώ μεικτά, αιτία της ακύρωσης του νόμου ήταν η φιλοσοφία των περικοπών που βασίστηκαν στο ύψος της κύριας σύνταξης προκειμένου να κοπεί η επικουρική.
Η «θεραπεία» της αντισυνταγματικότητας του υπολογισμού των νέων επικουρικών θα έρθει με αναλογιστική μελέτη η οποία θα τεκμηριώνει τη βιωσιμότητα του επικουρικού υπερταμείου χωρίς τον «κόφτη» των 1.300 ευρώ. Υπενθυμίζεται πως όλες οι επικουρικές συντάξεις επανυπολογίστηκαν στο σύνολό τους. Όσοι συνταξιούχοι είχαν άθροισμα κάτω από 1.300 ευρώ διατήρησαν «προσωπική διαφορά» στην επικουρική τους. Αντίθετα, όσοι είχαν άθροισμα από 1.300 ευρώ και πάνω έχασαν την προσωπική διαφορά μέχρι του ορίου των 1.300 ευρώ.
Ο δύσκολος γρίφος φαίνεται πως βρίσκει τη λύση του στη σημαντική περιουσία και τα αποθεματικά του ΕΤΕΑΕΠ, που φέρονται να ξεπερνούν σήμερα τα 2,5 δισ. ευρώ. Ο νόμος Κατρούγκαλου άλλωστε προβλέπει πως τυχόν ελλείμματα θα καλύπτονται από την περιουσία του Ταμείου. Το 2016 το ΕΤΕΑΕΠ είχε εμφανίσει έλλειμμα 646 εκατ. ευρώ, που μειώθηκε στα 100 εκατ. ευρώ, λόγω εκποίησης περιουσίας άνω των 500 εκ. ευρώ. Αντίθετα τα τρία τελευταία χρόνια που εφαρμόστηκαν οι περικοπές παρουσιάζει πλεόνασμα από 17 εκατ. ευρώ έως και 109 εκατ. ευρώ.
https://www.ethnos.gr/oikonomia/69853_syntaxeis-poioi-kerdizoyn-megales-ayxiseis-epikoyrikon-pinakas
